当前位置:肿瘤瞭望>资讯>正文

HER2低表达和HER2零表达在淋巴结阴性乳腺癌中的长期预后意义

作者:肿瘤瞭望   日期:2022/10/31 14:08:26  浏览量:10985

肿瘤瞭望版权所有,谢绝任何形式转载,侵犯版权者必予法律追究。

经研究证实,HER2低表达晚期乳腺癌可从ADC药物治疗中获益。

编者按:经研究证实,HER2低表达晚期乳腺癌可从ADC药物治疗中获益。然而,目前临床上尚不能将HER2低表达作为乳腺癌的独立分型,因缺乏充分的预后判断证据。近日,一项发表于EJC杂志的研究,回顾性分析了HER2零表达和HER2低表达患者长达15年的生存差异显示,HER2低表达患者具有更好的DFS和OS。
 
 
研究简介
 
最近新型抗体药物偶联物(ADC)在晚期人表皮生长因子受体2(HER2)阴性乳腺癌患者群体中显示出临床活性。本研究分析了HER2低表达和HER2零表达肿瘤的预后意义。
 
对1985年至2000年间的410名未经辅助全身治疗的连续淋巴结阴性乳腺癌患者进行了回顾性队列研究(中位随访时间16.73年(IQR 8.58–23.45年))。将351(85.6%)名HER2阴性患者细分为HER2-0(免疫组化(IHC)为0)和HER2-low(IHC为1+或2+同时原位杂交(ISH)阴性)。其中170(48.4%)名患者有可用的HER2基因表达数据。与通过免疫组化得到HER2状态不同,基因表达和临床病理参数是通过费希尔精确检验、皮尔逊相关系数和曼-惠特尼检验来评估。预后情况使用Kaplan-Meier方法和Cox回归分析研究。
 
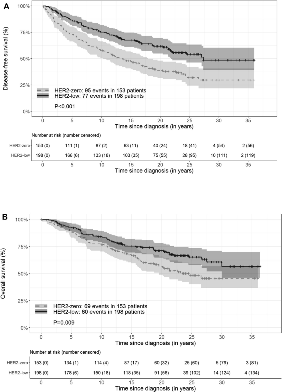
在351例HER2阴性患者中,198例(56.4%)为HER2-low组,153例(43.6%)为HER2-0组。HER2-0和HER2-low组间存在显著差异,具体为病理分级(P=0.001),Ki-67(P=0.013)和HER2基因表达(P=0.002)。HER2-low患者有更长的无病生存期(DFS)(15年DFS率:67.5%[95%CI 61.0-74.7]vs.47.3%[95%CI 39.9-56.1],P<0.001)和更长的总生存期(OS)(15年OS率:75.4%[95%CI 69.4–81.9]vs.66.8%[95%CI 59.5-74.9],P=0.009)。在激素受体(HR)阳性中观察到OS差异(P=0.039),而在HR阴性没有差异(P=0.086)。多变量分析证实了HER2状态的独立预后意义(DFS:HR,0.546;95%CI,0.402-0.743;P<0.001;OS:HR,0.653;95%CI,0.458-0.932;P=0.019)。
 
△无病生存率(A)和总生存率(B)的Kaplan-Meier生存分析
 
△HR亚组中无病生存率(A,C)和总生存率(B,D)的Kaplan-Meier生存分析
 
研究讨论
 
迄今为止的证据不足以将HER2-low定义为独立亚型1。最近一些回顾性研究分析了HER2-0和HER2-low早期乳腺癌的发生率和预后意义,得出的结果相互矛盾2-7。HER2-low早期乳腺癌的发生率从16.2%至64.4不等4-5
 
由于HER2-low晚期乳腺癌患者可能受益于新型ADC药物8,因而早期至晚期乳腺癌HER2表达的演变就显得很重要。最近的一项研究发现早期和晚期乳腺癌之间的HER2状态转化率为38%9。Tarantino和同事也发现了很高的不一致率10,并且总结得到HER2低表达是动态的,在晚期乳腺癌中会增加。
 
总体而言,本研究与其他研究相比,在发生率和预后意义都存在很大差异。可能的原因包括随访时间的长短,归为HER2-0或HER2-low的百分比,疾病阶段,分子亚型以及全身疗法的使用。并且一个可能的重要原因是HER2评分的可重复性有限。
 
尽管对乳腺癌HER2-low亚组的研究稳步增加,但仍有几个方面需要仔细考虑1。Tarantino及其同事在综述评述中假定定量PCR检测有可能为HER2状态提供更加标准、客观和自动化的评估,尤其是标准IHC和FISH检测中没有表现出明显阳性或阴性的肿瘤。最近发表的关于乳腺癌HER2低表达可重复性研究表明,对HER2 IHC低范围内(0和1+)的计分准确率很差11-12
 
事实上,传统HER2检测旨在区分扩增的HER2和未扩增的HER2,但是灵敏度不足以对HER2更低的表达范围进行分层13。此外,我们的结果中也显示了一个统计学显著差异与临床/生物学差异之间的不同,即在HER2-low和HER2-0间的HER2 mRNA水平存在微小但显著的差异。
 
总之,本研究通过对未进行辅助全身治疗的淋巴结阴性患者进行回顾分析,发现HER2-low和HER2-0乳腺肿瘤间的预后和病理特征存在显著差异。虽然仍难以将HER2-low定义为独立亚型,但是在HER2阴性人群中的HER2状态的可重复性需要提高,因为晚期HER2-low患者可能是新型ADC药物的候选人群。
 
▌原文链接:
https://www.ejcancer.com/article/S0959-8049(22)00363-X/fulltext
 
 
姚静教授
 
华中科技大学同济医学院附属协和医院
 
肿瘤中心乳腺肿瘤科主任
 
主任医师,副教授,硕士生导师,博士
 
中华医学会肿瘤分会乳腺肿瘤青年学组委员
 
中国抗癌协会肿瘤分子医学专业委员会委员
 
中国抗癌协会多学科MDT专业委员会委员
 
中国抗癌协会肿瘤临床化疗青年委员会委员
 
中国抗癌协会乳腺癌青年委员会委员
 
中国医疗保健国际交流促进会肿瘤内科分会委员
 
湖北省医学生物免疫学会转化医学委员会常委
 
专业方向:乳腺癌综合治疗、分子靶向治疗
 
研究方向:乳腺癌的分子靶向治疗,乳腺癌耐药机制
 
参考文献:
 
1 Tarantino P,Hamilton E,Tolaney SM,Cortes J,Morganti S,Ferraro E,et al.HER2-Low breast cancer:pathological andclinical landscape.J Clin Oncol 2020;38(17):1951e62.https://doi.org/10.1200/JCO.19.02488.
 
2 Agostinetto E,Rediti M,Fimereli D,Debien V,Piccart M,Aftimos P,et al.HER2-Low breast cancer:molecular characteristics and prognosis.Cancers 2021;13(11).https://doi.org/10.3390/cancers13112824.
 
3 Alves FR,Gil L,Vasconcelos de Matos L,Baleiras A,Vasques C,Neves MT,et al.Impact of human epidermal growth factor receptor 2(HER2)low status in response to neoadjuvant chemotherapy in early breast cancer.Cureus 2022;14(2):e22330.https://doi.org/10.7759/cureus.22330.
 
4 Horisawa N,Adachi Y,Takatsuka D,Nozawa K,Endo Y,Ozaki Y,et al.The frequency of low HER2 expression in breast cancer and a comparison of prognosis between patients with HER2-low and HER2-negative breast cancer by HR status.Breast Cancer 2022;2:234e41.https://doi.org/10.1007/s12282-021-01303-3.
 
5 Jacot W,Maran-Gonzalez A,Massol O,Sorbs C,Mollevi C,
 
Guiu S,et al.Prognostic value of HER2-low expression in nonmetastatic triple-negative breast cancer and correlation with other biomarkers.Cancers 2021;13(23).https://doi.org/10.3390/cancers13236059.
 
6 Li Y,Abudureheiyimu N,Mo H,Guan X,Lin S,Wang Z,et al.In real life,low-level HER2 expression may Be associated with better outcome in HER2-negative breast cancer:a study of the national cancer center,China.Front Oncol 2021;11:774577.https://doi.org/10.3389/fonc.2021.774577.
 
7 Moura Leite L de,Cesca MG,Tavares MC,Santana DM,Saldanha EF,Guimara˜es PT,et al.HER2-low status and response to neoadjuvant chemotherapy in HER2 negative early breast cancer.Breast Cancer Res Treat 2021;190(1):155e63.
 
https://doi.org/10.1007/s10549-021-06365-7
 
8 Modi S,Park H,Murthy RK,Iwata H,Tamura K,Tsurutani J,et al.Antitumor activity and safety of trastuzumab deruxtecan in patients with HER2-low-expressing advanced breast cancer:results from a phase ib study.J Clin Oncol 2020;38(17):1887e96.https://doi.org/10.1200/JCO.19.02318.
 
9 Miglietta F,Griguolo G,Bottosso M,Giarratano T,Lo Mele M,Fassan M,et al.Evolution of HER2-low expression from primary to recurrent breast cancer.NPJ Breast Cancer 2021;7(1):137.https://doi.org/10.1038/s41523-021-00343-4
 
10 Tarantino P,Gandini S,Nicolo`E,Trillo P,Giugliano F,Zagami P,et al.Evolution of low HER2 expression between early and advanced-stage breast cancer.Eur J Cancer 2022;163:35e43.https://doi.org/10.1016/j.ejca.2021.12.022.
 
11 Schettini F,Chic N,Braso´-Maristany F,Pare´L,Pascual T,Conte B,et al.Clinical,pathological,and PAM50 gene expression features of HER2-low breast cancer.NPJ Breast Cancer 2021;7(1):1.https://doi.org/10.1038/s41523-020-00208-2.
 
12 Fernandez AI,Liu M,Bellizzi A,Brock J,Fadare O,Hanley K,et al.Examination of low ERBB2 protein expression in breast cancer tissue.JAMA Oncol 2022;8(4):1e4.https://doi.org/10.1001/jamaoncol.2021.7239.
 
13 Moutafi M,Robbins CJ,Yaghoobi V,Fernandez AI,MartinezMorilla S,Xirou V,et al.Quantitative measurement of HER2 expression to subclassify ERBB2 unamplified breast cancer.Lab Invest 2022.https://doi.org/10.1038/s41374-022-00804-9.
 
审批号:CN-104456
本文由阿斯利康提供支持,仅供医疗卫生专业人士参考。

本内容仅供医学专业人士参考


乳腺癌

分享到: 更多