当前位置:肿瘤瞭望>资讯>正文

共君一席话丨王晓稼教授:DESTINY-Breast03见刊NEJM,奏响命运交响曲的华彩乐章

作者:肿瘤瞭望   日期:2022/3/25 11:14:05  浏览量:15007

肿瘤瞭望版权所有,谢绝任何形式转载,侵犯版权者必予法律追究。

2021年ESMO大会以LBA1的形式公布了DESTINY-Breast03 研究的结果,时隔半年时间,2022年3月24日新英格兰医学杂志(NEJM)在线发表了DESTINY-Breast03 研究的全文。

编者按:2021年ESMO大会以LBA1的形式公布了DESTINY-Breast03 研究的结果,时隔半年时间,2022年3月24日新英格兰医学杂志(NEJM)在线发表了DESTINY-Breast03 研究的全文。这是DESTINY系列研究第4次见刊NEJM,随着T-Dxd在HER2表达肿瘤中研究的进展和布局,也奏响了抗HER2治疗的命运交响曲。
 
DESTINY-Breast01 研究,开启命运交响曲的前奏
 
2019年DESTINY-Breast01的结果在SABCS大会上公布,同期NEJM全文发表。在这项开放标签、单组、多中心的Ⅱ期研究中,评估了既往接受过T-DM1治疗且病理证实为HER2阳性的转移性乳腺癌患者中T-Dxd的疗效和安全性。总共184名接受过中位6线治疗的患者接受了5.4mg/kg的T-Dxd治疗。中位随访时间为11.1个月,中位缓解持续时间为14.8个月,中位无进展生存期为16.4个月。2020年SABCS公布了中位随访20.5个月的数据,mPFS达到了19.4个月,中位生存期(mOS)为29.1个月,为二线应用铺平了道路,也开启了T-Dxd在肿瘤治疗领域的命运交响曲前奏。
 
 
 
 
DESTINY-Gastric01/DESTINY-Lung01 研究,续写命运交响曲的传奇
 
除了乳腺癌领域,T-Dxd在胃癌和肺癌领域也进行了布局。2020年5月DESTINY-Gastric01研究见刊NEJM,在这项开放、随机、Ⅱ期试验中,评估了HER2阳性晚期胃癌患者使用T-Dxd和化疗的疗效和安全性。结果显示与标准治疗相比,T-Dxd显著改善HER2阳性晚期胃癌患者的客观缓解率(14% vs 51%,P<0.001)和总生存(8.4 months vs 12.5 months,HR=0.59, 95%CI:0.39~0.88,P=0.01)。
 
 
 
 
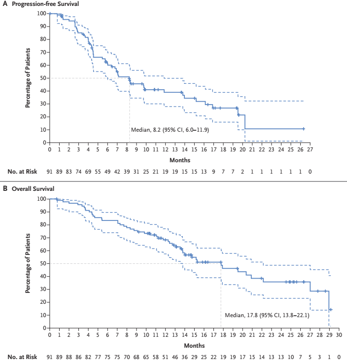
在2021年9月,DESTINY-Lung01研究的结果也在NEJM进行了发表,这是一项国际多中心Ⅱ期研究,评估了T-Dxd用于标准治疗后难治转移的HER2突变NSCLC患者。结果显示,T-Dxd在既往经治的HER2突变NSCLC患者中显示出持久的抗癌活性。该研究共纳入91例患者,中位随访时间为13.1个月。ORR为55%,中位缓解持续时间为9.3个月(95%CI:5.7~14.7),中位无进展生存期为8.2个月(95%CI:6.0~11.9),中位总生存期为17.8个月(95%CI:13.8~22.1)。
 


DESTINY-Breast03 见刊NEJM,奏响命运交响曲的华彩乐章
 
2021年ESMO大会以LBA1的形式公布了DESTINY-Breast03 研究的结果,直接体现了这项研究对HER2阳性乳腺癌二线治疗的革命性地位。时隔半年,2022年3月24日NEJM在线发表了DESTINY-Breast03研究的全文。
 
DESTINY-Breast03研究是首个T-DXd的Ⅲ期随机对照试验,评估既往接受过治疗的HER2+mBC中,T-DXd和T-DM1的疗效和安全性。结果显示,在既往接受曲妥珠单抗和紫杉醇治疗的HER2阳性转移性乳腺癌患者中,接受T-Dxd治疗的患者其疾病进展或死亡风险显著低于接受T-DM1治疗的患者。研究共纳入524例患者,T-Dxd组与T-DM1组相比,研究者评估的中位无进展生存期分别为25.1个月vs 7.2个月,12个月的PFS率分别是75.8% vs 34.1%(HR=0.26;95%CI:0.2~0.35;P<0.001),亚组分析显示,在所有亚组中,T-Dxd均优于T-DM1,中位总生存两组都未达,12个月的总生存率分别为94.1% vs 85.9%(HR=0.55,P=0.007)。ORR分别为79.7% vs 34.2%(95% CI:28.5~40.3)。
 




DESTINY-Breast04 研究结果即将出炉,拉开命运交响曲的高潮大幕
 
DESTINY-Breast04是一项全球、开放标签、关键Ⅲ期研究,旨在评价T-DXd对比研究者选择的化疗,用于治疗HER2低表达晚期乳腺癌患者的疗效和安全性。入组患者为HER2低表达(IHC 1+或IHC 2+且ISH-)的不可切除和/或转移性乳腺癌。该研究入组了来自亚洲、欧洲和北美的540例患者,其中中国大陆也有20家中心参与该研究。近日,DESTINY-Breast04研究结果公布,PFS和OS实现双阳性结果。在HER2低表达的不可切除和/或转移性乳腺癌患者中,无论激素受体(HR)状态如何,与医生选择的化疗相比,无进展生存期(PFS)和总生存期(OS)均有统计学意义和临床意义的改善,而化疗是目前的治疗标准。  
 
 
 
DESTINY-Breast03见刊NEJM的同时,我们也迎来了另一个好消息,2022年3月21日T-Dxd的上市申请已经获得NMPA受理。我们希望这一重磅创新药物能够早日在国内上市,惠及更多中国的肿瘤患者。另一方面,我们也期待DESTINY系列研究能够继续取得积极结果,为HER2表达肿瘤患者的治疗格局带来革命性的变化。
 
参考文献:
 
[1]Modi S, Saura C, Yamashita T, Park YH, Kim SB, Tamura K, Andre F, Iwata H, Ito Y, Tsurutani J, Sohn J, Denduluri N, Perrin C, Aogi K, Tokunaga E, Im SA, Lee KS, Hurvitz SA, Cortes J, Lee C, Chen S, Zhang L, Shahidi J, Yver A, Krop I;DESTINY-Breast01 Investigators. Trastuzumab Deruxtecan in Previously Treated HER2-Positive Breast Cancer. N Engl J Med. 2020 Feb 13;382(7):610-621. doi: 10.1056/NEJMoa1914510. Epub 2019 Dec 11.
 
[2]Shitara K, Bang YJ, Iwasa S, Sugimoto N, Ryu MH, Sakai D, Chung HC, Kawakami H, Yabusaki H, Lee J, Saito K, Kawaguchi Y, Kamio T, Kojima A, Sugihara M, Yamaguchi K;DESTINY-Gastric01 Investigators. Trastuzumab Deruxtecan in Previously Treated HER2-Positive Gastric Cancer. N Engl J Med. 2020 Jun 18;382(25):2419-2430.
 
[3]Li BT, Smit EF, Goto Y, Nakagawa K, Udagawa H, Mazières J, Nagasaka M, Bazhenova L, Saltos AN, Felip E, Pacheco JM, Pérol M, Paz-Ares L, Saxena K, Shiga R, Cheng Y, Acharyya S, Vitazka P, Shahidi J, Planchard D, J?nne PA;DESTINY-Lung01 Trial Investigators. Trastuzumab Deruxtecan in HER2-Mutant Non-Small-Cell Lung Cancer. N Engl J Med. 2022 Jan 20;386(3):241-251.
 
[4]Javier Cortés, M.D., Ph.D., Sung-Bae Kim, M.D., Ph.D., Wei-Pang Chung, M.D., Seock-Ah Im, M.D., Ph.D., Yeon Hee Park, M.D., Ph.D., Roberto Hegg, M.D., Ph.D., Min Hwan Kim, M.D., Ph.D., Ling-Ming Tseng, M.D., Vanessa Petry, M.D., Chi-Feng Chung, M.D., Hiroji Iwata, M.D., Ph.D., Erika Hamilton, M.D., et al. Trastuzumab Deruxtecan versus Trastuzumab Emtansine for Breast Cancer. N Engl J Med 2022;386:1143-1154.
 
后记:为促进乳腺领域中外专家的交流与沟通,提高我国乳腺癌患者的整体诊疗水平,推进乳腺癌诊疗迈向创新发展的新征程。肿瘤瞭望媒体在壬寅虎年隆重开办“共君一席话”系列栏目,该项目共分为“天涯共此时、共说此丰年、云影共徘徊、谁与共争锋、百家共争鸣”五个章节,包含中外连线、MDT会诊、热点辩论等多种形式,扫描二维码进入项目专栏,欢迎收藏此网站,更多精彩内容等你来!
 
 
专家简介
 
王晓稼教授
 
中国科学院大学附属肿瘤医院(浙江省肿瘤医院)
 
中国科学院大学肿瘤医院党委委员兼院长助理
 
科教部主任、乳腺内科主任,博士/博士生导师、主任医师
 
浙江省肿瘤智能诊断与分子技术重大疾病诊治技术研究中心副主任
 
国家卫健委合理用药专家组成员兼乳腺癌实践基地主任
 
国家肿瘤质控中心乳腺癌专委会成员
 
浙江省肿瘤诊治质控中心副主任兼乳腺癌专家委员会主委
 
CSCO乳腺癌专家委员会副主任委员
 
中国抗癌协会乳腺癌专业委员会常委
 
浙江省抗癌协会肿瘤内科专业委员会主任委员、乳腺癌专业委员会候任主任委员
 
浙江省省免疫学会副理事长
 
浙江省转化医学学会副理事长兼精准医学分会会长

本内容仅供医学专业人士参考


乳腺癌,胃癌,肺癌

分享到: 更多