AACR视点丨PD-1单抗多久用一次?

作者:肿瘤瞭望   日期:2020/5/6 10:09:19  浏览量:19153

肿瘤瞭望版权所有,谢绝任何形式转载,侵犯版权者必予法律追究。

编者按:目前临床上普遍接受的PD-1/L1单抗治疗晚期实体瘤的疗程为2年,但有关此类药物的最佳用药时长及剂量方案对疗效的影响仍有存疑。在AACR2020大会上公布的KEYNOTE-555研究结果再次为此问题提供答案参考。北京大学肿瘤医院斯璐教授应邀对该研究进行介绍和点评如下。

目前国内外已上市10种PD-1/L1单抗。有的按体重计算,有的按固定剂量使用;有的3周用一次,有的2周用一次。这可能与药物的半衰期、外周血单抗稳态峰/谷浓度、抗体的特性等相关。
 
在晚期实体瘤中,关于PD-1单抗用药2年的时长目前在临床已被广为接受,但2-3周的注射治疗和抽血检查对患者造成了不小的负担。由于这一类单抗类药物的代谢不同于小分子靶向药物和化疗药物,与个体的体重、体表面积和肝肾功能等关系不大,因此现在临床上倾向于固定剂量给药;另外单抗类药物不同于小分子药物,有其特定的清除模式,在饱和浓度下呈平台期缓慢消除,因此为其延长治疗时间间隔提供了理论基础。那固定剂量和延长时间用药是否会影响疗效?也就是说PD-1单抗多久用一次不会影响疗效?今年4月28-29日在美国召开的AACR会议中公布的KN555研究为这些疑问提供了临床疗效的数据,前期建模成果已于4月15日发表在《欧洲癌症杂志》(European Journal of Cancer)上。
 
研究简介
 
研究目的:帕博利珠单抗已被先后批准2mg/Kg和200mg,每3周一次给药。为进一步提高患者生活质量,减少频繁去医疗机构输液等不便,KN555研究对400mg/每6周一次给药是否与3周一次给药的浓度和疗效一致做了比较分析。该研究共入组了100例晚期阶段未接受系统治疗的局部晚期不可手术或者晚期黑色素瘤患者,这次会议公布了其中44例患者的初步结果。
 
研究方法:基于5个帕博利珠单抗在不同瘤种临床研究中的2993例肿瘤患者群体药物动力学模型模拟了浓度-时间曲线。通过评估400mg/6周的给药期平均浓度和稳态谷浓度来确定疗效(与群体药物学动力学模型比较)。通过评估给药期的峰浓度是否低于群体药物动力学中10mg/Kg 每两周给药人群的浓度来确定安全性(在帕博利珠单抗的早期研究中10mg/Kg 2周是该药曾达到的最大探索剂量,该剂量的疗效与2mg/Kg 3周方案相当)。
 
研究结果:400mg/6周一次与200mg/3周一次具有相似的预测暴露(平均高1%),仅不到1%的受试者在给药期浓度暂时低于200mg和2mg/Kg 每3周方案,这意味着疗效可能相仿。而400mg/6周一次的预测峰值浓度低于10mg/Kg 2周方案,这意味着安全性尚好。这44例患者的有效率为38.6%,既往KN001、KN006研究和KN252对照组(200mg q3w)的有效率分别为39%、36.5%和31.5%(见下图)。抗药抗体(ADA)发生率少于2%。任意G3/4副反应为25%,治疗相关的G3/4副反应仅为2.3%,无治疗相关死亡和停药患者。
 
 
研究结论:帕博利珠单抗 400 mg/6周的预期暴露量与200 mg和2 mg/kg /3周相似,又低于10 mg/kg 2周方案。在5倍剂量范围(2 mg/kg 每3周至10 mg 每2周)内建立的帕博利珠单抗的暴露-反应关系支持400 mg/6周的临床疗效和安全性与200 mg/kg和2 mg/kg 每3周的肿瘤类型相似。
 
思考
 
K药的400mg/6周方案能否推广到晚期肿瘤
 
该研究从100例黑色素瘤患者入手,研究了疗效、药代动力学和副反应等数据,是否意味着只能在晚期黑色素瘤中推广呢?从既往的群体药代动力学来看,黑色素瘤与非小细胞肺癌、头颈肿瘤、胃癌、肝癌、宫颈癌、淋巴瘤等其他实体瘤都有相似的PK暴露(见下图)。因此,笔者认为K药的6周方案可以推广至多瘤种中。
 
 
其他PD-1/L1单抗有没有可能延长间隔用药时间
 
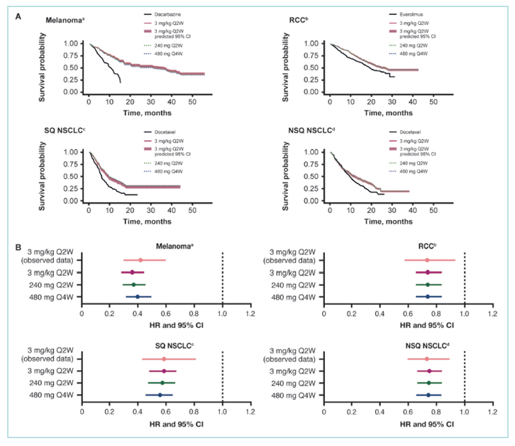
无独有偶,纳武单抗也经历了3mg/Kg每2周,240mg每2周以及480mg每4周等不同方案调整。纳武单抗的480mg每4周方案已经在欧洲和美国得到批准,其大样本跨瘤种研究发表在2020年2月的《肿瘤学年鉴》(Annals of Oncology)上。该研究的研究学方法与KN555研究基本相似,显示出这三个剂量组和不同治疗间隔在黑色素瘤、非小细胞肺癌、肾癌、膀胱癌、头颈部鳞癌、淋巴瘤等瘤种中的血液动力学、疗效和安全性数据上有较好的一致性(下图)。
 
 
另外,罗氏公司的阿替利珠单抗(PD-L1单抗)也于2019年报道了类似的临床研究,该研究荟萃了6个临床研究(包含I-III期非小细胞肺癌以及尿路上皮癌)的患者,对阿替利珠单抗840mg/2周方案,1200mg /3周方案和1680mg /4周方案在药物代动学、客观有效率、生存以及安全性等指标进行了比较,结果认为三种剂量模式具有一致的有效率以及安全性,临床支持其互换,以满足临床的不同需求。相关结果发表于2019年《癌症化疗与药理学》(Cancer Chemother Pharmacol)杂志上,并于2019年底获得FDA对其新版说明书的修订许可(下图)。
 
 
总结
 
PD-1/L1单抗类药物将逐步成为肿瘤治疗中的一个“普药”,如何更为方便高效的使用是临床上亟需解决的问题。K药、O药和阿替利珠单抗无疑成为了这个领域中的先行者,黑色素瘤、肺癌、尿路上皮癌这几个瘤种成为了最先有确凿证据的获益者。当然这些数据还缺乏中国研究证据,国内药物说明书中也并未做相应修改,期待其他PD-1/L1单抗能提供更多的中国证据,让更多患者获益。
 
参考文献
 
1、Lala M, Li TR, de Alwis DP, Sinha V, Mayawala K, Yamamoto N, Siu LL, Chartash E, Aboshady H, Jain L.A six-weekly dosing schedule for pembrolizumab in patients with cancer based on evaluation using modelling and simulation. Eur J Cancer. 2020 May;131:68-75. doi: 10.1016/j.ejca.2020.02.016. Epub 2020 Apr 15.
 
2、Zhao X, Shen J, Ivaturi V, Gopalakrishnan M, Feng Y, Schmidt BJ, Statkevich P, Goodman V, Gobburu J, Bello A, Roy A, Agrawal S. Model-based evaluation of the efficacy and safety of nivolumab once every 4 weeks across multiple tumor types. Ann Oncol. 2020 Feb;31(2):302-309. doi: 10.1016/j.annonc.2019.10.015. Epub 2019 Dec 9.
 
3、Morrissey KM, Marchand M, Patel H, Zhang R, Wu B, Phyllis Chan H, Mecke A, Girish S, Jin JY, Winter HR, Bruno R. Alternative dosing regimens for atezolizumab: an example of model-informed drug development in the postmarketing setting. Cancer Chemother Pharmacol. 2019 Dec;84(6):1257-1267. doi: 10.1007/s00280-019-03954-8. Epub 2019 Sep 21.
 
4、Freshwater T, Kondic A, Ahamadi M, Li CH, de Greef R, de Alwis D, et al. Evaluation of dosing strategy for pembrolizumab for oncology indications. J Immunother Cancer 2017;5:43.
 
专家简介
 
斯璐
 
北京大学肿瘤医院
主任医师,副教授,硕士生导师
CSCO黑色素瘤诊治指南》执笔人
《CSCO免疫检查点抑制剂相关毒性管理指南》执笔人
CSCO黑色素瘤专家委员会副主任委员
CSCO神经系统肿瘤专委会副主任委员
CSCO罕见肿瘤专委会常委
CSCO青年专家委员会常委
CSCO患者教育专家委员会常委
CSCO免疫治疗专委会委员
《肿瘤学杂志》青年编委副主编
《临床癌症研究》(Clinical Cancer Research)审稿专家
 
主要从事黑色素瘤和泌尿肿瘤的临床和转化医学研究。发表论文40余篇,以第一或通讯作者发表SCI论文18篇,总影响因子近150分,单篇最高他引次数372次,在国际黑色素瘤会议上以大会报告及壁报的形式发表会议论文10余篇。参编著作3部。主持国家级和省部级基金6项。获得省部级科技进步奖4项。国家癌症中心研究论文特等奖1项。

本内容仅供医学专业人士参考


帕博利珠单抗

分享到: 更多