当前位置:肿瘤瞭望>资讯>研究>正文

陈文艳教授:深耕不辍,笃行致远——3期PANTHER试验的10年随访结果公布

作者:肿瘤瞭望   日期:2024/6/12 11:00:04  浏览量:5225

肿瘤瞭望版权所有,谢绝任何形式转载,侵犯版权者必予法律追究。

既往已有多项研究证实术后辅助化疗对早期乳腺癌患者的临床价值,但高剂量化疗伴随的心脏毒性和血液系统不良反应仍是临床亟待处理的问题。近期在ESMO BC 2024上发布一项关于高危早期乳腺癌治疗的重要研究——随机3期PANTHER试验的10年随访结果公布,为我们揭示了剂量密集型定制辅助化疗与标准辅助化疗之间的疗效差异,并深入剖析了关键亚组的反应。《肿瘤瞭望》特邀南昌市人民医院陈文艳教授详细阐述了该项研究开展的背景、研究结果、临床意义以及带给我们的一些思考。

编者按:既往已有多项研究证实术后辅助化疗对早期乳腺癌患者的临床价值,但高剂量化疗伴随的心脏毒性和血液系统不良反应仍是临床亟待处理的问题。近期在ESMO BC 2024上发布一项关于高危早期乳腺癌治疗的重要研究——随机3期PANTHER试验的10年随访结果公布,为我们揭示了剂量密集型定制辅助化疗与标准辅助化疗之间的疗效差异,并深入剖析了关键亚组的反应。《肿瘤瞭望》特邀南昌市人民医院陈文艳教授详细阐述了该项研究开展的背景、研究结果、临床意义以及带给我们的一些思考。
 
今年ESMO BC大会上,报道了III期临床研究PANTHER随访十年的疗效及关键亚组的结果。在2007年2月至2011年9月期间,2003名患者随机分为两组。一组为实验组:定制剂量密集型辅助化疗(简称为tDD EC/D),一组为对照组:标准间隔化疗。在中位随访10.3年后,实验组有179例乳腺癌复发,对照组有218例复发。tDD EC/D治疗改善了BCRFS(乳腺癌无复发存活期)的主要终点(HR=0.80,95%CI:0.65~0.98,P=0.030;10年事件率为18.6%vs.22.3%,绝对差异3.7%±1.9%)。根据激素受体和HER2表达、解剖分期以及其他人口统计学和病理因素,BCRFS在各个亚组中均有改善,亚组分析中观察到年龄>50岁/激素受体阳性/HER2阳性接受曲妥治疗的患者获益明显。两组总生存期的差异无统计学意义(HR=0.82,95%CI:0.65~1.04,P=0.109;10年事件率15.1%vs.16.6%,绝对差1.5%±1.7%)。结论认为,在PANTHER试验10年随访的数据显示,与含有每三周一次多西他赛的标准辅助化疗相比,定制剂量密集型辅助化疗改善了BCRFS。
 
 
前情提要
 
辅助化疗自问世以来,剂量密集方案优效性的探索就一直在继续。在PANTHER(黑豹)研究开展前,早期乳腺癌患者术后辅助化疗的临床价值已经得到了充分证实。2012年发表在柳叶刀上的早期乳腺癌试验协作组荟萃分析,更是对乳腺癌术后辅助化疗价值和不同化疗方案疗效做了全面总结:①早期乳腺癌患者术后实施化疗相较于不化疗,可降低三分之一的死亡风险;②在标准蒽环方案后序贯四个周期的紫杉可显著降低16%的患者死亡风险;③化疗方案中蒽环类药物累积剂量越高(累计剂量大于240mg/m2阿霉素或360mg/m2表柔比星),疗效越显著[1]。然而,临床实践中使用更高剂量的蒽环类药物化疗方案,患者心脏毒性和继发性血液系统恶性肿瘤不良反应也会增加。
 
 
剂量密集疗法指在不增加累积剂量的情况下,以较短的时间间隔进行化疗,被认为是一种可以提高治疗疗效的方法。2003年在JCO上发表的CALGB9741研究中提示对于淋巴结阳性患者,剂量密集型的2周化疗方案相对于3周化疗方案可降低26%的复发风险[2]。类似的研究结果也在一项META分析中得到证实[3]
 
此外,由于大多数化疗药物的剂量仅根据体表面积计算确定,并不结合患者年龄、体重、肝肾功能等。导致不同患者之间的药物清除率差异很大,不良反应也存在显著差异。多项临床研究提示可以根据患者的不良反应作为药代动力学指标以调整化疗剂量,且临床疗效与血液学不良反应呈正相关[4-6]
 
剂量密集型方案疗效虽然更好,但短时间密集给药可能给患者更高的潜在不良反应。能否在治疗期间根据患者的不良反应,个体化调整剂量密集方案中药物的剂量,从而在确保安全性的同时,进一步提高早期乳腺癌治愈率呢?
 
研究解读
 
PANTHER(黑豹)研究是2007年由在瑞典、德国和奥地利三个国家总共86家医院参与的一项开放标签、随机、多中心的III期临床试验。总共入组了2003例术后淋巴结阳性或高危淋巴结阴性(肿瘤>2cm、激素受体阴性、组织学3级或年龄≤35岁)患者。其中1001例患者被分配到基于白细胞和血小板数值定制(表1)剂量密集化疗辅助治疗(表2)组(表柔比星+环磷酰胺4周期→多西他赛定制(表2)剂量密集化疗4周期,每2周重复),1002例患者被分配到标准化疗对照组(氟尿嘧啶+表柔比星3周期→多西他赛3周期,每3周重复)。主要终点指标为无乳腺癌复发生存,次要终点指标包括:5年无事件生存、无远处病变生存、总生存、3或4级毒性反应。
 
 
表1.定制剂量密集型给药方案(试验组)
 
表2.定制剂量密集型方案试验组患者根据白细胞和血小板数值治疗方案调整标准
 
2016年,PANTHER研究在JAMA上公布了中位随访5.3年时首次分析结果。两组共269例无乳腺癌复发生存,其中定制剂量密集化疗118例、对照组151例。两组无乳腺癌复发生存分别为88.7%和85.0%,无显著差异(HR=0.79,P=0.06),且两组的总生存、无远处病变生存也无显著差异。定制剂量密集化疗组仅5年无事件生存显著高于对照组,分别为86.7%和82.1%(HR=0.79,P=0.04)。3或4级血液毒性反应可见于定制剂量密集化疗组527例(52.6%)、对照组336例(36.6%)[7]
 
 
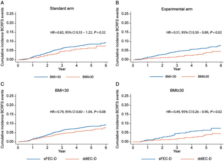
2018年,PANTHER研究的研究者对PANTHER研究中肥胖人群(BMI>30)亚组进行了回顾探索性分析。因为,肥胖被认为是肿瘤患者预后不良因素之一,相较于正常体重患者,肥胖患者乳腺癌复发或死亡的风险增加约三分之一[8]。猜测其可能的原因之一是由于化疗剂量不足所导致,但临床证据很少。由于PANTHER研究中采用了个体化的定制剂量密集方案,对于肥胖患者可以部分避免化疗剂量不足的问题。研究者假设定制剂量密集方案可使肥胖患者的剂量合理且结局改善,并发表在《肿瘤学报》上。结果表明肥胖患者与非肥胖患者(BMI<30)相比,无乳腺癌复发生存有所改善[HR=0.51,P=0.02]。此外,与标准治疗相比,定制剂量密集化疗组疗效仅与肥胖患者的无乳腺癌复发生存改善有关(HR=0.49,P=0.022),与非肥胖患者中无关(HR=0.79,P=0.089)。不同表柔比星剂量水平或BMI组之间的毒性没有差异。提示对于早期乳腺癌肥胖患者,采用定制剂量密集方案可以在不增加毒性的情况下改善肥胖患者的治疗效果[9]
 
 
2020年,由于曲妥珠单抗在多项HER2+乳腺癌辅助治疗的临床试验结果,标志着乳腺癌治疗进入了靶向时代。在临床试验中也观察到了一定的曲妥珠心脏毒性,但这种风险大多是可逆的、并且在机制上不同于蒽环类药物引起的心脏毒性[10]。但仍有临床医生担心使用更高的累积蒽环类药物剂量和曲妥珠单抗时,心脏毒性的风险会增加。基于此,PANTHER研究者对HER2+接受了曲妥辅助治疗患者进行了亚组分析。结果显示共有342名HER2阳性患者;其中335名患者至少接受过1次曲妥珠单抗治疗,29名患者提前停用曲妥珠单抗。定制剂量密集方案组和对照组的无复发生存率在统计学上并不显著(HR=0.68;P=0.231)。且随访4年和6年后,无论患者HER2状态还是采用何种治疗方案,患者的心脏相应不良反应事件发生率均相似,阳性和HER2阴性患者或两个治疗组之间没有显著差异[11]
 
 
患者的生活质量也是临床治疗需要关注的重点,化疗也会对患者健康相关生活质量(HRQoL)产生负面影响。2020年PATHER研究也公布了两组随访长达16个月的健康相关生活质量结果。两组的HRQoL在治疗期间均下降。但在治疗结束时,试验组报告的整体健康状况、身体机能、角色功能、社会功能、疲劳、性功能和全身治疗效果的HRQoL显著低于标准组[12]
 
几点思考
 
辅助化疗目前尚不能解决所有早期乳腺癌患者的治愈,故而在此领域的探索仍然在持续。从PANTHER研究中,我们能学到什么?
 
首先,传统的按照体表面积为患者计算化疗药物的剂量受到了挑战,如果根据患者的不良反应动态调整化疗剂量,这或许能解决根据更为精准的剂量带来个体化精准的疗效和最耐受的副作用。但同时,我们也注意到,由于密集给药的高频次似乎又降低了依从性。接受所有计划疗程化疗的患者比例,在常规剂量组是94.8%,而定制剂量密集化疗组仅仅只有83.1%。那问题来了,是定制剂量更重要,还是密集给药更重要?或者肥胖更适合给予定制剂量?或者因为要密集时才给予定制?
 
其次,对照组方案FEC-T中的5-FU并没有因为三药联合的强度给早期乳腺癌患者带来获益,故而我们现在在临床实践中很少应用这个方案。当然最为重要的点是PANTHER研究在此次ESMO BC大会报告十年随访的结果,能给我们带来怎样的启发。毕竟,十年前,我们在乳腺癌辅助治疗中,还没有这么多新的研究成果,PANTHER临床研究中,有80%是激素受体阳性的乳腺癌患者,淋巴结0~3枚的患者也占到了60%,HER2阴性的是83%。当下,同时满足的这三点的患者群体中,会有一部分通过基因检测去豁免化疗,也无需去纠结具体用什么方案了。
 
同理可推,也就是PANTHER研究中,其实有一部分患者辅助化疗是不获益的,那这些患者在两组中的比例各是多少,对最终的研究结果会不会有影响。这些可能性,随着岁月的流逝,都很难再有清晰的数据分析。但这些都很难掩盖这些经典研究背后熠熠生辉的光芒,我们看到的是,在化疗这个领域当中,孜孜不倦去寻找新的突破点的临床专家们,一点一点去探索进步的空间。显然,化疗领域中,还有很多我们亟需知道的未解之谜。让我们一起深耕不辍,笃行致远。
 
参考文献
 
[1]Peto R,Davies C,Godwin J,et al;Early Breast Cancer Trialists’Collaborative Group(EBCTCG).Comparisons between different polychemotherapy regimens for early breast cancer:meta-analyses of long-term outcome among 100,000 women in 123 randomized trials.Lancet.2012;379(9814):432-444.
 
[2]Citron ML,Berry DA,Cirrincione C,et al.Randomized trial of dose-dense versus conventionally scheduled and sequential versus concurrent combination chemotherapy as postoperative adjuvant treatment of node-positive primary breast cancer:first report of Intergroup Trial C9741/Cancer and Leukemia Group B Trial 9741.J Clin Oncol.2003;21(8):1431-1439.
 
[3]Bonilla L,Ben-Aharon I,Vidal L,Gafter-Gvili A,Leibovici L,Stemmer SM.Dose-dense chemotherapy in nonmetastatic breast cancer:a systematic review and meta-analysis of randomized controlled trials.J Natl Cancer Inst.2010;102(24):1845-1854.
 
[4]Cameron DA,Massie C,Kerr G,Leonard RC.Moderate neutropenia with adjuvant CMF confers improved survival in early breast cancer.Br J Cancer.2003;89(10):1837-1842.
 
[5]Colleoni M,Price K,Castiglione-Gertsch M,et al;International Breast Cancer Study Group.Dose-response effect of adjuvant cyclophosphamide,methotrexate,5-fluorouracil(CMF)in node-positive breast cancer.Eur J Cancer.1998;34(11):1693-1700.
 
[6]Saarto T,Blomqvist C,Rissanen P,Auvinen A,Elomaa I.Haematological toxicity:a marker of adjuvant chemotherapy efficacy in stage II and III breast cancer.Br J Cancer.1997;75(2):301-305.
 
[7]Foukakis T,von Minckwitz G,et al.JAMA.2016 Nov 8;316(18):1888-1896.
 
[8]Jiralerspong S,Goodwin PJ.Obesity and breast cancer prognosis:evidence,challenges,and opportunities.J Clin Oncol 2016;34:4203–4216.
 
[9]Matikas A,Foukakis T,et al.Ann Oncol.2019 Jan 1;30(1):109-114.
 
[10]Guarneri V,Lenihan DJ,Valero V,et al.Long-term cardiac tolerability of trastuzumab in metastatic breast cancer:the M.D.Anderson Cancer Center experience.J Clin Oncol.2006;24:4107-4115.
 
[11]Papakonstantinou A,Matikas A,et al.Efficacy and safety of tailored and dose-dense adjuvant chemotherapy and trastuzumab for resected HER2-positive breast cancer:Results from the phase 3 PANTHER trial.Cancer.2020 Mar 15;126(6):1175-1182.doi:10.1002/cncr.32653.Epub 2019 Dec 18.PMID:31851385.
 
[12]Brandberg Y,Johansson H,et al.Long-term(up to 16 months)health-related quality of life after adjuvant tailored dose-dense chemotherapy vs.standard three-weekly chemotherapy in women with high-risk early breast cancer.Breast Cancer Res Treat.2020 May;181(1):87-96.doi:10.1007/s10549-020-05602-9.Epub 2020 Mar 31.PMID:32232698;PMCID:PMC7182635.
 
[13]2024 ESMO BC 111MO-Tailored dose-dense versus standard adjuvant chemotherapy for high-risk early breast cancer:Efficacy outcomes and key subgroups after 10 years of follow-up in the randomized phase 3 PANTHER trial
 
陈文艳教授
南昌市人民医院
南昌市人民医院乳腺内科科主任
中国临床肿瘤学会乳腺癌专委会委员
中国抗癌协会乳腺癌专业委员会委员
江西抗癌协会乳腺癌专业委员会副主委
中国抗癌协会乳腺肿瘤整合康复专业委员会常委
长江学术带乳腺联盟副主委
中国医药教育协会乳腺疾病规范化诊治江西培训基地候任主委
江西抗癌协会乳腺癌专委会青委会主委
中国医药教育协会乳腺疾病专委会乳腺癌多学科诊疗学组副主委
江西省研究型医院学会乳腺肿瘤分会副主委

 

本内容仅供医学专业人士参考


乳腺癌

分享到: 更多