当前位置:肿瘤瞭望>资讯>快讯>正文

《Nature》子刊丨ATEMPT研究年龄分层分析:T-DM1或TH用于乳腺癌治疗的安全性及生活质量

作者:肿瘤瞭望   日期:2024/5/15 11:06:09  浏览量:8190

肿瘤瞭望版权所有,谢绝任何形式转载,侵犯版权者必予法律追究。

ATEMPT研究比较了恩美曲妥珠单抗(T-DM1)和曲妥珠单抗联合紫杉醇(TH)辅助治疗Ⅰ期HER2阳性乳腺癌1年的有效性和安全性,结果显示T-DM1较TH具有更好的生活质量、更低的神经病变风险和更高的生活质量[1]。当前,患者年龄是公认的乳腺癌治疗决策的影响因素,也可能与乳腺癌患者身体和心理的负面后遗症发展相关。因此研究者对ATEMPT研究患者按照50岁分层,评估其分层后停药、患者报告的毒性和生活质量状况。此次事后分析结果发表在《Nature》子刊《NPJ Breast Cancer》,现整理如下,以飨读者。

编者按:ATEMPT研究比较了恩美曲妥珠单抗(T-DM1)和曲妥珠单抗联合紫杉醇(TH)辅助治疗Ⅰ期HER2阳性乳腺癌1年的有效性和安全性,结果显示T-DM1较TH具有更好的生活质量、更低的神经病变风险和更高的生活质量[1]。当前,患者年龄是公认的乳腺癌治疗决策的影响因素,也可能与乳腺癌患者身体和心理的负面后遗症发展相关。因此研究者对ATEMPT研究患者按照50岁分层,评估其分层后停药、患者报告的毒性和生活质量状况。此次事后分析结果发表在《Nature》子刊《NPJ Breast Cancer》,现整理如下,以飨读者。
 
研究方法:
 
本项事后分析旨在比较ATEMPT研究中年轻(≤50岁)和老年(>50岁)女性入组后18个月的停药率、患者报告毒性和生活质量。本次事后分析在排除无基线(n=28)或18个月评估(n=99)的参与者和男性参与者(n=4)后,将T-DM1组和TH组按3:1的比例随机匹配了366例患者(图1),报告了其入组18个月后的停药情况,使用多变量模型比较按年龄、治疗组分层后的患者报告的毒性和生活质量(QOL)。
 
图1参与者流程图
 
在纳入分析的患者中,34%(n=124)为≤50岁组,66%(n=242)为>50岁组,其他特征相似(图2)。
 
图2按年龄组列出的基线特征
 
在分析队列(N=366)中,总体中位年龄为56.69(23.2-85.9)岁,≤50岁组中位年龄为45.37(23.2-50.9)岁,>50岁组为61.13(51.2-85.9)岁(图2)。治疗分布相似且符合3:1分配,75%的≤50岁患者和79%的>50岁患者纳入T-DM1组。≤50岁组在入组时绝经前患者更多(86%vs.11%,P<0.001);≤50岁组接受乳房切除术比例更高(53%对28%,P<0.001),辅助放疗比例更低(50%对73%,P<0.001)。
 
在激素受体(HR)阳性患者中,治疗18个月时≤50岁组和>50.岁组的内分泌治疗率(87%vs 83%)相似,且HR阳性人群的T-DM1与TH治疗方案使用率(85%vs.83%)相似。
 
研究结果:

治疗停药和减量
 
TH组vs T-DM1组停药率为6%vs 18%。>50岁组中T-DM1停药率显著高于≤50岁组(23%vs 9%,P=0.003),分别有4%、8%和17%的>50岁患者在3个月、6个月和9个月停止治疗(图3)。类似的,在极端年龄组中也观察到不同的T-DM1停药率:≤40岁人群为5%,(1/19),≥70岁人群为23%(6/26)。
 
不良事件是T-DM1停药的主要原因,在>50岁组不良时间发生率更高(18%vs 8%)。两个年龄组中大约一半的停药是由研究规定,一半是由主治医生决定(图3)。在>50岁组中,T-DM1停药最常见的毒性是肝酶或胆红素升高(29%)、神经病变(17%)和血小板减少(17%)。由于心脏毒性而停药的病例很少(n=2),且仅出现于>50岁组。
 
图3按年龄组列出的T-DM1停用原因
 
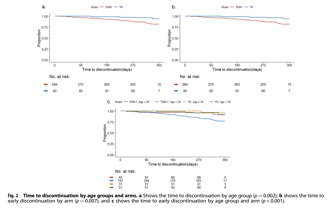
>50岁组停药时间明显短于≤50岁组(P=0.002,图4a),T-DM1组停药时间明显短于TH组(P=0.007,图4b)。接受T-DM1治疗的>50岁组人群停药风险特别高;而接受T-DM1治疗的≤50岁组、接受TH治疗的>50岁组和≤50岁组停药风险相当(P<0.001,对数秩检验,图4c)。在T-DM1停药后,25%(2/8)的≤50岁人群和45%(20/44)的>50岁人群改用曲妥珠单抗完成一年的辅助治疗。
 
图4按年龄和治疗分层的停药时间。a按年龄组显示停药时间(P=0.002);b不同治疗组提前停药的时间(P=0.007);c表示按年龄组和治疗组显示停药的时间(P<0.001)
 
治疗剂量减少方面,T-DM1剂量减少发生率为18%,>50岁组vs≤50岁组为20%(38/128)vs 14%(13/93),P=0.011。
 
患者自我报告的结局:
 
图5按治疗和年龄分层的基线和招募后18个月未经调整的PROs
 
基线和18个月的PRO评分按治疗组别和年龄组分层后汇总状况见图5。多变量分析显示,18个月时癌症治疗-乳腺癌功能评估(FACT-B)更好的总分与FACT-B更好的基线总分相关(估计平均差0.73,P<0.001),与年龄或治疗组无关(图6)[2]。在≤50岁组中,T-DM1治疗较TH治疗与更好的18个月FACT-B总分相关,估计平均差异为6.48分(95%CI 0.51-12.46),与最小重要差异(MID)阈值7-8分接近。
 
此外,在T-DM1组中,≤50岁组比>50岁组具有更好的校正后18个月FACT-B总分(年龄≤50岁和年龄>50岁之间的估计平均评分差为4.12;95%CI0.32-7.92)。敏感性分析显示基线绝经状态与治疗组的相互作用关系不显著(P=0.993)。
 
图6招募后18个月FACT-B总分平均差异的多变量线性回归模型
 
各年龄组和治疗组与18个月PROs的校正后平均差异如图7所示。当控制结果测量的基线值和其他协变量时,T-DM1治疗组较TH组在≤50岁人群的18个月FACT-B总分更高,这由主观幸福感(SWB)(T-DM1和TH得分的估计平均差值,2.61;95%CI 0.64–4.58)和乳腺癌评分量表(BCS)(T-DM1和TH得分的估计平均差值,1.92;95%CI 0.05–3.79)分项得分的差异驱动。在>50岁组,T-DM1相较TH具有更好的身体状况(PWB)评分显著相关(T-DM1与TH的估计平均评分差异为1.43;95%CI 0.26-2.60);在≤50岁组则无此类差异。所有具有显著差异的组间均达到或接近MID阈值(BCS为2-3分,PWB为1-3分)[3,4]
 
图7各年龄组和治疗方案与登记后18个月PRO的校正后平均差异
 
校正后的18个月鹿特丹症状检查表(RSCL)得分在不同年龄组和治疗组表现相当。在T-DM1治疗组,≤50岁组较>50岁组的活动水平显著较差(≤50岁和>50岁得分的估计平均差值,1.10;0.28–1.93),而在TH组并无此类差异[5,6]
 
18个月的工作效率和活动障碍问卷:特定健康问题(WPAI:SHP)评分显示,>50岁组中,T-DM1 vs TH与更少的乳腺癌引起的活动障碍相关(T-DM1与TH的估计平均评分差为-6.53;95%CI为-12.79~-0.28)[7]
 
根据脱发患者评估(APA)报告,18个月时脱发状况在年龄组或治疗组间没有显著差异。患者神经毒性问卷(PNQ)显示,在>50的女性中,经过18个月后,残余中度、中度-重度或重度神经病变方面,T-DM1较TH组显著降低(比值比[OR]0.33,95%CI 0.16-0.68),而在≤50的女性中,则有降低的趋势(OR 0.32,95%CI 0.10-1.03)[8]
 
总结:
 
鉴于HER2阳性早期乳腺癌相关试验中良好的治疗结果,目前越来越强调降阶梯治疗是保持治疗效果同时优化生活质量(HRQOL)的一种手段。本研究结果显示与TH相比,T-DM1治疗的年轻女性18个月HRQOL更优,表明现代的、降级的治疗方案能缓和治疗对年轻女性HRQOL的影响。同时,年轻乳腺癌患者可能比老年患者更能从T-DM1的使用中获益。而对于老年患者,尽管T-DM1与更好的身体健康、更少的活动障碍和更低的神经病变几率相关,但本研究并未观察到两组之间18个月整体HRQOL的显著差异。这可能与老年患者毒性增加、T-DM1停药率升高有关。因此,在对HER2阳性乳腺癌选择降阶梯治疗方案时,要谨慎考虑该方案以及患者年龄可能对治疗耐受性、毒性和随后的生活质量的影响,以争取为患者提供当下最大治疗获益。
 
审批编号:CN-135361,
有效期:2025-5-13
*本材料由阿斯利康提供,仅供医疗卫生专业人士参考
 
文章来源:
Sella T,Zheng Y,Tayob N,et al.Treatment discontinuation,patient-reported toxicities and quality-of-life by age following trastuzumab emtansine or paclitaxel/trastuzumab(ATEMPT).NPJ Breast Cancer.2022;8(1):127.Published 2022 Nov 30.doi:10.1038/s41523-022-00495-x
 
参考文献
 
[1]Tolaney,S.M.et al.Adjuvant trastuzumab emtansine versus paclitaxel in combination with trastuzumab for stage I HER2-positive breast cancer(ATEMPT):a randomized clinical trial.J.Clin.Oncol.39,2375–2385(2021).
 
[2]Brady,M.J.et al.Reliability and validity of the Functional Assessment of Cancer Therapy-Breast quality-of-life instrument.J.Clin.Oncol.15,974–986(1997).
 
[3]Eton,D.T.et al.A combination of distribution-and anchor-based approaches determined minimally important differences(MIDs)for four endpoints in a breast cancer scale.J.Clin.Epidemiol.57,898–910(2004).
 
[4]King,M.T.et al.Meta-analysis provides evidence-based interpretation guidelines for the clinical significance of mean differences for the FACT-G,a cancer-specific quality of life questionnaire.Patient Relat.Outcome Meas.1,119–126(2010).
 
[5]De Haes,J.,et al.The Rotterdam Symptom Checklist(RSCL):A Manual.https://meetinstrumentenzorg.nl/wp-content/uploads/instrumenten/194_2_N.pdf(2012).
 
[6]de Haes,J.C.,van Knippenberg,F.C.&Neijt,J.P.Measuring psychological and physical distress in cancer patients:structure and application of the Rotterdam Symptom Checklist.Br.J.Cancer 62,1034–1038(1990).
 
[7]Reilly,M.C.,Zbrozek,A.S.&Dukes,E.M.The validity and reproducibility of a work productivity and activity impairment instrument.Pharmacoeconomics 4,353–365(1993).
 
[8]Mathias,S.D.,Colwell,H.H.,Lalla,D.&Masaquel,A.S.Evaluation of the alopecia patient assessment(APA)questionnaire in women with breast cancer and alopecia.Value Health 16,A39(2013).

 

 

本内容仅供医学专业人士参考


乳腺癌

分享到: 更多