当前位置:肿瘤瞭望>资讯>研究>正文

BOC/BOA 2023丨葛睿教授:2022年度中国乳腺癌临床研究进展

作者:肿瘤瞭望   日期:2023/7/17 13:58:01  浏览量:8164

肿瘤瞭望版权所有,谢绝任何形式转载,侵犯版权者必予法律追究。

为让我国临床肿瘤学工作者能够更快、更方便地分享国际一流科研成果,“2023年中国临床肿瘤学年度进展研讨会(BOC)暨Best of ASCO 2023 China”(BOC/BOA 2023)于7月7日~8日在哈尔滨举办。会上,复旦大学附属华东医院葛睿教授带来了《2022年度中国乳腺癌临床研究进展》的讲课,对既往一年乳腺癌领域的临床研究进展进行梳理,肿瘤瞭望特进行整理。

编者按:为让我国临床肿瘤学工作者能够更快、更方便地分享国际一流科研成果,“2023年中国临床肿瘤学年度进展研讨会(BOC)暨Best of ASCO 2023 China”(BOC/BOA 2023)于7月7日~8日在哈尔滨举办。会上,复旦大学附属华东医院葛睿教授带来了《2022年度中国乳腺癌临床研究进展》的讲课,对既往一年乳腺癌领域的临床研究进展进行梳理,肿瘤瞭望特进行整理。
 
△葛睿教授
 
通过对2022年1月1日~2022年12月31日乳腺癌领域临床研究和基础转化研究中的第一作者或通讯作者为中国学者的原创性研究进行筛选,并检索了乳腺癌领域重要国内外会议中的中国学者研究,《2022年度中国乳腺癌临床研究进展》共入选了5979篇文章。
 
1
2022年度乳腺癌领域最重要的三项研究
 
葛睿教授认为,2022年度乳腺癌领域最重要的三项研究分别是《马来酸吡咯替尼片联合卡培他滨治疗HER2阳性晚期乳腺癌脑转移的多中心、单臂、前瞻性、开放性Ⅱ期临床研究》、《PHEDRA研究:新辅助吡咯替尼+曲妥珠单抗+多西他赛用于HER2阳性乳腺癌的随机对照Ⅲ期研究》和《GAP研究:白蛋白紫杉醇联合顺铂对比吉西他滨联合顺铂用于转移性三阴性乳腺癌一线治疗的多中心、随机对照Ⅲ期研究》。
 
 
(一)马来酸吡咯替尼片联合卡培他滨治疗HER2阳性晚期乳腺癌脑转移的单臂、前瞻性、开放性Ⅱ期临床研究[1]
 
 
HER2阳性乳腺癌患者的脑转移风险很高,超过30%患者会发生脑转移事件,导致较差的预后。PERMEATE是由河南省肿瘤医院闫敏教授牵头开展的一项多中心、单臂、双队列Ⅱ期试验。入组了18岁或以上的未经局部放疗的脑转移患者(队列A)和局部放疗后再次进展的脑转移患者(队列B)。接受吡咯替尼+卡培他滨口服治疗直到疾病进展或毒性不可耐受。主要终点是研究者评估确认的颅内客观缓解率(CNS-ORR)。
 
 
2019年1月29日至2020年7月10日,8家中心共招募了78例女性患者:队列A中59例患者中的51例(86%)既往曾接受过曲妥珠单抗治疗,队列B中19例患者中18例(95%)既往曾接受过曲妥珠单抗治疗。2023年ASCO大会上研究结果更新显示,队列A的CNS-ORR为74.6%(95%CI:61.6~85.0),队列B的CNS-ORR为42.1%(95%CI:20.3~66.5)。
 
 
截至2023年4月11日,中位随访时间为42.8个月(95%CI:39.9~44.4),队列A中位PFS为10.8个月(95%CI:7.6~13.9);中位OS为36个月(95%CI:24.5~未达到),1年和3年OS率分别为84.6%(95%CI:76.0~94.4)和49.8%(95%CI:38.0~64.4)。
 
△中位随访42.8个月,队列A的PFS和OS
 
队列B中位PFS为5.6个月(95%CI:3.5~10.7),中位OS为31.5个月(95%CI:12.6~未达到),1年和3年的OS率分别为78.9%(95%CI:64.0~99.6)和29.1%(95%CI:13.0~60.4)。
 
△中位随访42.8个月,队列B的PFS和OS
 
吡咯替尼在PHENIX研究中已体现出对于脑转移患者的优异疗效,PERMEATE再一次证明了对于脑转移患者的突破性疗效,本研究表明吡咯替尼联合卡培他滨可作为HER2阳性乳腺癌脑转移患者的可选治疗方案。吡咯替尼联合卡培他滨是一种耐受性良好的方案,对CNS和CNS外病灶均有效,尤其是对于既往未接受CNS局部放疗的患者,PFS达10.8个月,ORR为74.6%。这些最新的结果表明,吡咯替尼联合卡培他滨为HER2+脑转移乳腺癌患者的长期生存带来获益,特别是在未经放疗队列中。
 
(二)PHEDRA研究:新辅助吡咯替尼+曲妥珠单抗+多西他赛用于HER2阳性乳腺癌的随机对照Ⅲ期研究[2]
 
 
PHEDRA研究是一项多中心、随机、双盲、安慰剂对照的Ⅲ期临床研究,评估了吡咯替尼+曲妥珠单抗+多西他赛对比安慰剂+曲妥珠单抗+多西他赛新辅助治疗早期或局部晚期HER2阳性乳腺癌的有效性和安全性,主要终点为由独立中央审查评估的总病理学完全缓解率(tpCR,定义为切除的乳腺标本和所有采样的同侧淋巴结的HE染色中没有任何残留的浸润性癌[ypT0/is,ypN0])。
 
结果显示,吡咯替尼组tpCR率为41.0%(95%CI:34.0~48.4),安慰剂组为22.0%(95%CI:16.6~28.7),单侧P<0.0001。吡咯替尼组bpCR率为43.8%(95%CI:36.5~51.1),安慰剂组为23.7%(95%CI:17.5~30.0)。
 
△PHEDRA研究tpCR率(主要研究终点)和bpCR率
 
吡咯替尼组ORR为91.6%(95%CI:86.6~94.8),安慰剂组为81.9%(95%CI:75.6~86.9)(单侧P<0.0001)。
 
△PHEDRA研究次要研究终点(ORR)
 
安全性方面,吡咯替尼组126例(71.3%)患者发生≥3级不良事件,安慰剂组66例(37.3%)患者发生≥3级不良事件。其中吡咯替尼组最常见≥3级不良事件包括腹泻、白细胞减少、呕吐、贫血等,最严重的腹泻为3级,主要发生在第一个周期,治疗期间逐渐减少。新辅助治疗期间无死亡发生。
 
基于PHEDRA研究结果,吡咯替尼+曲妥珠单抗+多西他赛获批HER2阳性乳腺癌新辅助治疗适应症,2023 CSCO BC指南也进行了相应推荐。
 
(三)GAP研究:白蛋白紫杉醇联合顺铂对比吉西他滨联合顺铂用于转移性三阴性乳腺癌一线治疗的随机对照Ⅲ期研究[3]
 
 
GAP研究是一项全国多中心的随机对照Ⅲ期临床试验,对比了白蛋白紫杉醇+顺铂与吉西他滨+顺铂一线治疗转移性三阴性乳腺癌患者的疗效及安全性。
 
△GAP研究试验设计
 
GAP研究结果提示,白蛋白紫杉醇+顺铂组(AP)的中位无进展生存时间显著长于吉西他滨+顺铂组(GP),分别为9.8和7.4个月(HR 0.67;95%CI:0.50~0.88;P=0.004)。且在不同年龄、ECOG评分、月经状态、无病生存时间、转移部位、内脏转移情况、既往蒽环/紫杉类药物治疗状态的患者中,白蛋白紫杉醇+顺铂组在多数亚组中都可以观察到疗效上的显著获益。白蛋白紫杉醇+顺铂组的客观有效率也显著高于吉西他滨+顺铂组(81.1%vs.56.3%;P<0.001)。中位OS在白蛋白紫杉醇+顺铂组和吉西他滨+顺铂组分别为26.3个月和22.9个月(HR 0.62;95%CI:0.44~0.90;P=0.010)。白蛋白紫杉醇+顺铂组和吉西他滨+顺铂组的ORR分别为81.1%和56.3%,P<0.001。
 
△GAP研究两组患者的mPFS、mOS、ORR
 
与GP方案相比,白蛋白紫杉醇联合顺铂一线治疗mTNBC可显著改善PFS和ORR,而OS结果尚待观察。安全性方面,在3级或4级不良事件中,AP组的神经病变发生率显著高于GP组(分别为18.8%和0%),而GP组血小板减少症的发生率显著高于AP组(分别为29.4%和3.9%)。
 
△GAP研究治疗相关AE
 
2
2022年度乳腺癌领域值得关注的三项研究
 
2022年度乳腺癌领域值得关注的三项研究分别是:《靶向HER2乳腺癌诊疗中国专家共识2023版》、《FUTURE-C-Plus研究:法米替尼联合卡瑞利珠单抗与白蛋白紫杉醇用于免疫调节型晚期三阴性乳腺癌Ⅱ期研究》和《早期乳腺癌患者乳房微创手术与传统手术的长期结局》。
 
 
(一)靶向HER2乳腺癌诊疗中国专家共识2023版[4]
 
 
解放军总医院肿瘤医学部江泽飞教授、复旦大学附属肿瘤医院吴炅教授牵头及CSCO BC和CBCS专家团共同协作完成的《靶向HER2乳腺癌诊疗中国专家共识2023版》发表于《转化乳腺癌研究杂志》(TBCR杂志)。《靶向HER2乳腺癌诊疗中国专家共识2023版》着重介绍了HER2阳性乳腺癌临床诊断及分层治疗模式(见下图)。《靶向HER2乳腺癌诊疗中国专家共识2023版》发布后,中国临床肿瘤学会(CSCO)乳腺癌诊疗指南2023(2023版CSCO BC指南)[5]也基于相关专家推荐做出了更新。
 
 
为科学指导乳腺癌脑转移患者的诊疗,推进脑转移患者规范化管理,凝聚多领域专家学者智慧结晶的《乳腺癌脑转移诊疗CSCO专家共识[6]》于2022年正式在TBCR杂志发布。《乳腺癌脑转移诊疗CSCO专家共识》由解放军总医院肿瘤医学部江泽飞教授、王涛教授及CSCO BC专家团共同编写,对脑转移的临床表现、影像学检查、病理学诊断、治疗、预后及随访与监测进行了介绍。
 
 
(二)FUTURE-C-Plus研究:法米替尼联合卡瑞利珠单抗与白蛋白紫杉醇用于免疫调节型晚期三阴性乳腺癌[7]
 
 
FUTURE-C-PLUS研究旨在观察法米替尼联合卡瑞利珠单抗和白蛋白结合型紫杉醇三联方案一线治疗晚期免疫调节型(IM)三阴性乳腺癌的疗效和安全性。本研究入组了年龄在18~70岁的女性,这些患者为之前未接受治疗的,组织学证实的无法切除的局部晚期或复发转移性免疫调节型三阴性乳腺癌患者。免疫调节型三阴性乳腺癌定义为使用免疫组化方法检测至少10%的细胞中存在CD8表达。符合条件的患者接受法米替尼联合卡瑞利珠单抗和白蛋白结合型紫杉醇的三联方案。主要研究终点为ORR,次要研究终点包括:PFS、OS、DoR和安全性。
 
△FUTURE-C-PLUS研究试验设计
 
中位随访33.1个月,研究结果显示ORR为81.3%(95%CI:70.2~92.3),中位PFS为13.6个月(95%CI:8.4~18.8),中位OS为29.4个月(95%CI:23.3~35.5),DoR为95.8%(46/48),且安全可控。
 
△FUTURE-C-PLUS研究ORR和mPFS、mOS
 
(三)早期乳腺癌患者乳房微创手术与传统手术的长期结局:乳房微创手术可能是乳房传统手术安全可行的替代方案[8]
 
 
陆军军医大学第一附属医院乳甲外科团队在《JAMA Surgery》杂志上发表了一篇题为《Association of Long-term Oncologic Prognosis With Minimal Access Breast Surgery vs Conventional Breast Surgery》的回顾性队列研究。该研究比较了微创乳腺手术与传统乳腺手术的长期预后。
 
该研究纳入2004年1月至2017年12月陆军军医大学第一附属医院乳腺癌患者数据,应用倾向性评分匹配方法来均衡两组间混杂因素,使其两组间基线基本一致而减少偏倚,最终纳入2412例女性乳腺癌患者进行分析(中位[IQR]年龄,44[40~49]岁)。入组患者中,有603例行微创入路乳腺手术(内镜、内镜辅助或机器人辅助手术分别为289、302、12例),1809例行常规乳腺手术。
 
△回顾性队列研究筛选入组标准
 
中位随访时间为84个月(微创入路乳腺手术组93个月,常规乳腺手术组80个月)。研究结果显示,微创手术与传统开放手术相比,在10年局部无复发生存率(93.3%vs 96.3%)、10年区域无复发生存率(95.5%vs 96.7%)以及10年无远处转移生存率(81.0%vs 82.0%)方面相似。在5、10、15年无病生存率(85.9%、72.6%、69.1%比85.0%、76.6%、70.7%)和5、10、15年总生存率(92.0%、83.7%、83.0%比93.6%、88.7%、81.0%)方面,两组差异无显著性意义,微创手术远期疗效方面与开放一致。对亚组的无病生存率进行分析显示,所有亚组无显著差异。
 
△回顾性队列研究患者生存结果
 
该项研究结果证实,在早期乳腺癌患者当中,乳腺癌腔镜、机器人微创手术和开放手术在长期肿瘤学结果方面疗效无显著差异。在该患者人群中,微创入路乳腺手术可能是一种安全、疗效满意的替代方案。
 
3
2022年中国学者乳腺癌领域研究成果梳理——系统治疗领域研究
 
(一)PHILA研究:吡咯替尼或安慰剂联合曲妥珠单抗和多西他赛治疗HER2阳性转移性乳腺癌[9]
 
PHILA研究是吡咯替尼+曲妥珠单抗+多西他赛(吡咯替尼组)对比安慰剂+曲妥珠单抗+多西他赛(对照组)一线治疗HER2阳性复发/转移性乳腺癌的多中心Ⅲ期临床试验。研究入组标准为:病理确认的HER2阳性转移性乳腺癌;未经治疗;疾病可测量(RECIST v1.1);ECOG PS状态为0或1。590例符合入组条件的患者按照1∶1的比例随机进行分配,并接受治疗(吡咯替尼组297例患者,对照组293例患者)。主要研究终点为基于研究者(INV)评定的PFS,次要终点包括基于独立影像学评估(IRC)的PFS;OS、ORR、DOR、CBR、安全性等。
 
△PHILA研究试验设计
 
截至2022年5月,吡咯替尼组与对照组的中位随访时间分别为15.8个月(95%CI:0.4~36.2)和14.9个月(95%CI:0.4~35.3),两组患者经研究者评定(INV)的中位PFS分别为:24.3个月(95%CI:19.1~33.0)vs.10.4个月(95%CI:9.3~12.3),HR 0.41(95%CI:0.32~0.53),P<0.0001。
 
△PHILA研究的主要终点PFS(per INV)
 
4
2022年中国学者乳腺癌领域研究成果梳理:外科领域研究、影像学领域研究
 
(一)乳腺癌乳房切除术后疼痛综合征(PMPS)的发病率、危险因素、预防和治疗[10]
 
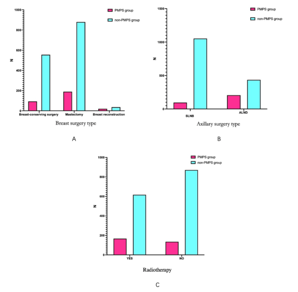
乳房切除术后疼痛综合征是乳腺癌术后常见的并发症。中国医学科学院肿瘤医院王靖教授等开展的一项多中心研究探索了乳腺癌PMPS的发生率、危险因素、预防和治疗,2017年~2021年共入选了来自三家医院的1790例术后乳腺癌患者,其中non-PMPS组1488(87%)例和PMPS组302(13%)例。相关结果2022年9月发表于《国际外科学杂志》(International Journal of Surgery)(IF=13.4),结果显示,PMPS发生率约为13.0%;年龄、乳房手术类型、腋窝手术类型和放疗是其危险因素;年龄、放疗和化疗会影响运动过程中PMPS的疼痛程度;对于具有高危因素的乳腺癌患者,应在围术期积极预防疼痛;口服药物、多学科联合治疗、局部和区域麻醉是PMPS最常用的治疗方法。PMPS组与非PMPS组相比,在乳房手术方式(A)、腋窝手术方式(B)、放疗(C)方面存在显著差异(P<0.001)。
 
△多中心研究提示,两组患者在乳房手术方式(A)、腋窝手术方式(B)、放疗(C)方面存在显著差异。
 
5
2022年中国学者乳腺癌领域研究成果梳理——放疗领域研究
 
高危、淋巴结阳性患者:全锁骨上vs.内侧锁骨上淋巴结照射[11]
 
 
区域淋巴结照射(RNI)广泛用于乳房切除术和保乳手术后腋窝淋巴结阳性的乳腺癌患者。锁骨上淋巴结(SCL)照射是RNI的一个组成部分。SCL临床靶区(CTV)的定义因多个共识轮廓图谱和当代临床试验方案而异。复旦大学附属肿瘤医院郭小毛教授、杨昭志教授团队发起了一项回顾性研究,选择将后外侧锁骨上淋巴结区域纳入标准内侧SCL靶区,检验整体SCL照射(E-SCLI)对比内侧SCL照射(M-SCL)是否可以改善接受RNI的高危淋巴结阳性乳腺癌患者的SCL控制情况和生存结果。
 
该项研究结果表明,在高危淋巴结阳性乳腺癌患者(N2-N3b)中仅照射内侧SCL区域不会增加后外侧SCL的失败率,两组患者的SCL复发率均较低。研究数据表明,E-SCLI并未改善高危淋巴结阳性乳腺癌患者的生存结果。
 
6
2022年中国学者乳腺癌领域研究成果梳理——转化领域研究
 
(一)综合代谢组学扩展了三阴性乳腺癌的精准治疗[12]
 
 
复旦大学附属肿瘤医院乳腺外科邵志敏教授、江一舟教授领衔团队成功绘制出当前世界上最大规模的三阴性乳腺癌代谢物图谱,优化了既往分型标准,为三阴性乳腺癌的精准个体化治疗提供新方向;作为三阴性乳腺癌“复旦分型”研究的延续,研究团队还针对目前疗效最差的两个三阴性乳腺癌亚型,提出对代谢通路中的关键代谢物鞘氨醇-1-磷酸和N-乙酰-天冬-谷氨酸的合成进行抑制,有望成为此类乳腺癌的精准靶向治疗的潜在策略,Cell Research杂志于2022年刊登了这项成果。研究结果提示,对LAR亚型神经酰胺代谢的分析显示中间体鞘氨醇-1-磷酸(S1P)是一个潜在的治疗靶点。
 
(二)抑制VAV2可逆转CD16+成纤维细胞所形成的曲妥珠单抗耐药的微环境[13]
 
 
成纤维细胞是肿瘤微环境中数量最丰富的间质细胞,是肿瘤进展的重要参与者,然而无差别耗竭成纤维细胞反而会促进肿瘤进展。中山大学孙逸仙纪念医院苏士成团队揭示了非白细胞表达Fcγ受体介导促癌信号的新机制,研究成果于2022年在国际顶级期刊Cancer Cell发表。研究者在人乳腺癌中发现一种表达Ⅲ型Fcγ受体(CD16)的独特成纤维细胞亚群,在曲妥珠单抗刺激下,这群成纤维细胞可通过增强细胞外基质硬度,来阻碍药物递送,诱导肿瘤耐药。更重要的是,他们还发现靶向VAV2可抑制该群细胞中Fcγ受体介导的促癌信号,为探索靶向CAFs的治疗方案提供了新的思路。
 
参考文献
 
上下滑动查看更多内容
 
[1]Yan M,Ouyang Q,Sun T,et al.Pyrotinib plus capecitabine for patients with human epidermal growth factor receptor 2-positive breast cancer and brain metastases(PERMEATE):a multicentre,single-arm,two-cohort,phase 2 trial.Lancet Oncol.2022;23(3):353-361.doi:10.1016/S1470-2045(21)00716-6
 
[2]Wu J,Jiang Z,Liu Z,et al.Neoadjuvant pyrotinib,trastuzumab,and docetaxel for HER2-positive breast cancer(PHEDRA):a double-blind,randomized phase 3 trial.BMC Med.2022;20(1):498.Published 2022 Dec 27.doi:10.1186/s12916-022-02708-3
 
[3]Wang B,Sun T,Zhao Y,et al.A randomized phase 3 trial of Gemcitabine or Nab-paclitaxel combined with cisPlatin as first-line treatment in patients with metastatic triple-negative breast cancer.Nat Commun.2022;13(1):4025.Published 2022 Jul 12.doi:10.1038/s41467-022-31704-7
 
[4]Li J,Wang X,Wang S,et al.Chinese Society of Clinical Oncology Breast cancer committee;Chinese Anti-Cancer Association;Committee of Breast Cancer Society.Expert consensus on the clinical diagnosis and targeted therapy of HER2 breast cancer(2023 edition).Transl Breast Cancer Res 2022;3:30.doi:10.21037/tbcr-22-48
 
[5]中国临床肿瘤学会(CSCO)乳腺癌诊疗指南.2023/中国临床肿瘤学会指南工作委员会组织编写.-北京:人民卫生出版社
 
[6]Wang T,Chen J,Yang J,et al.the CSCO expert panel of breast cancer.CSCO expert consensus on the diagnosis and treatment of breast cancer brain metastasis.Transl Breast Cancer Res 2022;3:22.doi:10.21037/tbcr-22-30
 
[7]Chen L,Jiang YZ,Wu SY,et al.Famitinib with Camrelizumab and Nab-Paclitaxel for Advanced Immunomodulatory Triple-Negative Breast Cancer(FUTURE-C-Plus):An Open-Label,Single-Arm,Phase II Trial.Clin Cancer Res.2022;28(13):2807-2817.doi:10.1158/1078-0432.CCR-21-4313
 
[8]Wan A,Liang Y,Chen L,et al.Association of Long-term Oncologic Prognosis With Minimal Access Breast Surgery vs Conventional Breast Surgery.JAMA Surg.2022;157(12):e224711.doi:10.1001/jamasurg.2022.4711
 
[9]Xu BH,et al.Pyrotinib or placebo in combination with trastuzumab and docetaxel for HER2-positive metastatic breast cancer(PHILA):a randomized phase 3 trial.2022 ESMO.Abstract LBA19.
 
[10]Ren Y,Kong X,Yang Q,et al.Incidence,risk factors,prevention and treatment of postmastectomy pain syndrome in breast cancer:A multicenter study.Int J Surg.2022;106:106937.doi:10.1016/j.ijsu.2022.106937
 
[11]Zhang L,Liu J,Ma J,et al.Entire Versus Medial Supraclavicular Nodal Irradiation for Patients With High-Risk Node-Positive Breast Cancer.Int J Radiat Oncol Biol Phys.2022;114(1):120-129.doi:10.1016/j.ijrobp.2022.05.025
 
[12]Xiao Y,Ma D,Yang YS,et al.Comprehensive metabolomics expands precision medicine for triple-negative breast cancer.Cell Res.2022.doi:10.1016/j.cmet.2022.09.021
 
[13]Liu X,Lu Y,Huang J,et al.CD16+fibroblasts foster a trastuzumab-refractory microenvironment that is reversed by VAV2 inhibition.Cancer Cell.2022;40(11):1341-1357.e13.doi:10.1016/j.ccell.2022.10.015

本内容仅供医学专业人士参考


乳腺癌

分享到: 更多