ASH 2019︱金洁教授:CT053临床研究结果进一步更新,患者获益更加显著

作者:肿瘤瞭望   日期:2019/12/25 17:59:16  浏览量:19173

肿瘤瞭望版权所有,谢绝任何形式转载,侵犯版权者必予法律追究。

编者按:2019年12月7~10日,第61届美国血液学会(ASH)年会在美国奥兰多盛大召开,来自世界各地的3万余名血液学专家及学者汇聚于此,共同交流及探讨血液领域的新进展,助力血液疾病诊疗水平的提高。当地时间12月9日,浙江大学医学院附属第一医院金洁教授代表浙江大学医学院附属第一医院、温州医科大学附属第一医院、上海交通大学医学院附属新华医院三个研究中心通过壁报展示的形式在本次ASH年会上展示了题为“Safety and Efficacy of CT053 (Fully-human Anti-BCMA CAR-T Cells) in Relapsed/Refractory Multiple Myeloma: a Phase 1 Trial”的研究结果。《肿瘤瞭望》特邀请金洁教授对此研究的进一步更新数据进行介绍,以惠及各位读者。

图1.第61届美国血液学会年会(ASH)现场(图片来源于网络)
 
2018年12月第60届ASH上,研究团队首次报告了该临床试验结果而备受瞩目;2019年9月,在第17届国际多发性骨髓瘤研讨会(IMW)上,研究团队报告了该研究结果的更新。本届ASH报告了该研究的进一步的数据更新。
 
图2. 浙江大学附属第一医院金洁教授展示CT053研究结果
 
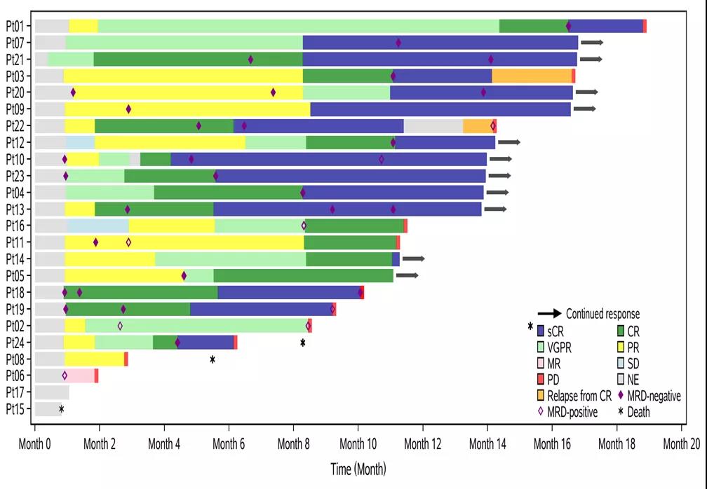
三个研究中心的研究结果显示:截止至2019年9月30日,共有24例复发/难治多发性骨髓瘤受试者接受单剂CT053输注,24例受试者中位年龄60岁,既往接受抗骨髓瘤治疗方案为5种(2~11种);ECOG评分0~1分16例(66.7%),ECOG评分2~3分8例(33.3%);10例(41.7%)合并髓外病变;ISS Ⅲ期有9例(37.5%)。24例受试者接受单次CT053细胞输注剂量范围为0.5~1.8×108,其中21例细胞输注剂量为1.5×108。所有受试者细胞一次制备成功。
 
本次ASH报告更新的主要内容为疗效数据。截止2019年9月30日,24例受试者输注后观察期为26~716天(中位441天),受试者最早在CT053输注后2~4周后就可能达到部分缓解及以上疗效,总缓解率(ORR)达到87.5% (21/24),完全缓解(CR/sCR)的比例为79.2% (19/24)。中位无进展生存期为16.6个月(95% CI 10.1-18.8)。
 
图3. CT053项目研究结果(截止2019年9月30日)
 
安全性和细胞代谢动力学数据和之前报道一致。24例受试者中,≥3级治疗相关的不良事件主要为预期的血液学毒性。有15例(62.50%)受试者在研究过程中发生了CRS(细胞因子释放综合症),其中12例为2级,3例为1级。仅1例发生了3级神经系统毒性。所有受试者在接受CT053单次注射后1~7天均在外周血检测到CAR-T细胞扩增,CAR-T细胞输注后7~21天可达到扩增高峰,CAR-T细胞在体内可持续中位172(21~341)天。
 
专家简介
金洁教授
主任医师、博士生导师
浙江大学医学院附属第一医院血液科主任
浙江大学医学院附属第一医院白血病中心主任
浙江省血液肿瘤(诊治)重点实验室主任
中国抗癌协会血液病转化专委会主任委员
国家卫健委临床重点学科浙一血液学科带头人
浙江省重点创新团队-白血病基础与临床研究创新团队带头人
浙江省卫生厅重点支撑学科血液学科带头人
中国女医师协会血液学专委会主任委员
中国医师协会整合血液学副主任委员
CSCO抗白血病联盟副主任委员
中华医学会血液学第七、九届常务委员
中华医学会血液学分会红细胞疾病学组副组长
中国实验血液学会常务委员
中国医师协会血液学分会常务委员
海峡两岸血液学分会常务委员
CSCO抗淋巴瘤联盟常务委员
浙江省医学会血液学分会前任主任委员
浙江省医师学会血液学分会会长
在Lancet Oncology、Cell、Leukemia等SCI收录杂志上发表学术论文190余篇,以第一获奖人获得国家科技进步二等奖1像、浙江省科技进步1-3等奖9项
 

本内容仅供医学专业人士参考


血液

分享到: 更多